
벡터의 내적에서는 벡터들의 곱의 값으로 스칼라값이 나왔습니다. 하지만 벡터의 외적에서는 두 벡터의 곱이 벡터가 됩니다. 벡터의 외적의 정의와 특징을 알아보고 실제 문제에 어떻게 적용되는지 알아보도록 하겠습니다.
- 외적의 정의
|
두 벡터 a, b에 대해 v = a × b |v| = |a × b| = |a||b|$cos r$ v = [$v_1$, $v_2$, $v_3$] ( $v_1$ = $a_2$$b_3$-$a_3$$b_2$ , $v_2$ = $a_3$$b_1$-$a_1$$b_3$ , $v_3$ = $a_1$$b_2$-$a_2$$b_1$ ) |
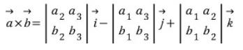
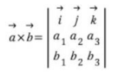
벡터의 외적은 두 벡터 a, b의 벡터곱(cross)라고 합니다. 벡터 v 각 성분의 값은 2차 및 3차 행렬식을 이용해서 쉽게 기억하실 수 있습니다.
$ v_1 = \begin{bmatrix} a_2 & a_3\\ b_2 & b_3 \end{bmatrix} $ , $ v_2 = \begin{bmatrix} a_3 & a_1\\ b_3 & b_1 \end{bmatrix} $ , $ v_3 = \begin{bmatrix} a_1 & a_2\\ b_1 & b_2 \end{bmatrix} $



옆과 같이 벡터는 단순히 값을 가지는 것 이상을 의미합니다. 첫번 째 그림에서 벡터 v의 크기는 두 벡터 a, b가 그리는 평행사변형 크기입니다. 직교 좌표계에서 두 번째 그림과같이 오른손 법칙을 적용시켰을 때 두 벡터 a, b의 수직에 대한 방향이 벡터 외적 결과인 벡터 v의 방향이 되는 것입니다. 그리고 또 세번 째 그림에서 오른손을 엄지를 위로 향하게 둔 상태에서 나머지 네 손가락이 향하는 방향으로 벡터가 이동할 때 벡터의 외적값인 v는 엄지방향을 가리키는 것을 볼 수 있습니다.
- 외적의 성질
- 외적의 결과가 0이면 두 벡터는 평행합니다.
- 임의의 스칼라 $k$에 대하여 ($k$a) × b = $k$( a × b ) = a ×($k$b) 만족합니다.
- 벡터곱은 벡터합에 대한 분배법칙을 만족합니다. a × ( b + c ) = ( a × b ) + ( a × c )
- 벡터곱은 결합법칙을 만족하지 않습니다.(생략불가) a × ( b × c ) ≠ ( a × b )× c
- 벡터곱은 반교환법칙을 만족합니다. a × b = -( b × a )
- 외적의 응용 · 심화
- 모멘트

역학에서 힘의 모멘트를 구할 때 외적을 사용합니다.
m = r × p 모멘트 m은 벡터 r과 힘 p의 수직이고 Q를 중심으로 회전합니다. 그리고 모멘트 m의 방향은 지면을 뚫고 나오는 방향(⊙)입니다.
- 스칼라 삼중적 ( a b c ) = a · ( b × c ) = ( a × b ) · c
\begin{align} \mathbf{a}\cdot(\mathbf{b}\times \mathbf{c}) & = \begin{vmatrix} a^1 & a^2 & a^3\\ b^1 & b^2 & b^3 \\ c^1 & c^2 & c^3 \end{vmatrix} \end{align}
- 스칼라 삼중적의 기하학적 표현

앞에서 언급했듯이 벡터 b, c의 외적은 두 벡터가 만드는 평행사변형의 면적과 같다 했습니다. 따라서 벡터 a와 b × c의 내적은 평행사변형의 면적 × 평행육면체의 높이 = 평행육면체의 부피가 되겠습니다.
즉, |a||b × c| |$cos r$| = |a · ( b × c )| = 평행육면체의 부피가 되겠습니다.
- 연습문제
연습문제 1.
꼭짓점이 (4, 2, 0), (10, 4, 0), (5, 4, 0), (11, 6, 0)일 때 평행사면형의 면적을 구하시오.
풀이
평행사변형의 모서리를 구성하는 벡터는 [6, 2, 0]과 [1, 2, 0]이다. [6, 2, 0]×[1, 2, 0]=\begin{vmatrix} i & j & k\\ 6 & 2 & 0 \\ 1 & 2 & 0 \end{vmatrix} = [0, 0, 10] 이므로 평행사변형의 넓이는 |[0, 0, 10]|=10이다.
연습문제 2.
꼭짓점이 (1, 3, 6), (3, 7, 12), (8, 8, 9), (2, 2, 8)인 사면체의 부피를 구하라
풀이
사면체의 모서리를 나타내는 벡터는 [2,4,6], [7,5,3], [1,-1,2]이다.
\begin{vmatrix} 2 & 4 & 6\\ 7 & 5 & 3 \\ 1 & -1 & 2 \end{vmatrix} =-90이므로 사면체의 부피는 90/6=15이다.
참조 : Erwin Kreyszig _ Herbert Kreyszig_ Edward J. Norminton - Advanced engineering mathematics-Wiley (2011)
'수학 (Mathematics) > 공업 수학 (Advanced Engineering Mathematics)' 카테고리의 다른 글
| 벡터의 미적분 응용 (0) | 2020.03.13 |
|---|---|
| 벡터의 적분 ( integral ) (0) | 2020.03.12 |
| 벡터의 도함수 ( derivatives ) (0) | 2020.03.12 |
| 벡터의 내적 (dot product) (0) | 2020.03.11 |
| 벡터의 기초 ( The basis of a vector ) (0) | 2020.03.11 |
댓글